반응형

감마 분포의 경우 θ = 1 / β로 사용할 수 있다. (β = rate, θ = scale)

베르누이 분포 - 한 번의 시행에서 성공(1) 또는 실패(0)
이항 분포 - n번 독립 시행에 대한 성공 횟수
푸아송 분포 - 단위시간(또는 구간) 내 발생 횟수
지수 분포 - 사건 발생까지의 대기시간
감마 분포 - k번째 사건이 발생할 때까지 시간, α=사건 발생 횟수, β=단위시간(또는 구간)에서 발생하는 평균 사건 수
정규 분포 - 연속형 실수 값
t 분포 - 표본평균의 표준화된 형태
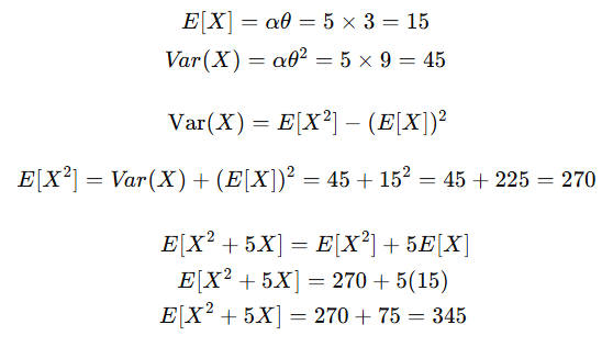
예시 1
감마 분포에서 α = 5, θ = 3일 때, 다음을 구하라.


예시 2
정규분포 신뢰구간 z 값
from scipy.stats import norm
confidence = 0.95
alpha = 1 - confidence
z = norm.ppf(1 - alpha/2)
z # 1.959963984540054
t-분포
from scipy.stats import t
n = 10 # len(df)
confidence = 0.95
alpha = 1 - confidence
df = n - 1
t_crit = t.ppf(1 - alpha/2, df)
t_crit # 2.2621571627409915반응형
댓글